
Covid 19 感染予測 日本版 の公開について Google Cloud Blog

機械学習入門者向け Naive Bayes 単純ベイズ アルゴリズムに触れてみる Avintonジャパン株式会社

ビジネスマンが一歩先をめざすベイズ統計学 検定と予測への新しいアプローチ 市場調査 日本リサーチセンター Nrc

2

ライブ配信セミナー デジタルラボ入門 ベイズ最適化を活用して 世界の動向と東工大 一杉研の取り組みを紹介 5月26日 水 開催 主催 株 シーエムシー リサーチ Ledge Ai
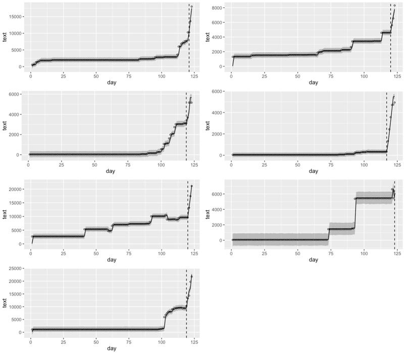
コロナ感染者数

ベイズ統計 ベイズ機械学習を始めよう Aidrops

54日目 100日後にベイズ統計ができるゆーみん 100日後にベイズ統計ができるゆーみん Note

ベイズの理論が変える 確率 の使い方 ベイズな予測 で未来を拓け 1 1 2 ページ Itmedia エンタープライズ

Jmrからの提案 陽性者報道の消費インパクトは低下 消費支出への影響は1人3円から1円へ J Marketing Net Produced By Jmr生活総合研究所
2
Tags:
Archive